如果你是来挑刺抬杠的,那可以退出了,因为我的结论已经告诉你了。由于之前在粒子组工作习惯的原因,在这个视频里(探访欧洲核物理中心 了解改变世界的物理公式)可能给大家造成了关于动能动量的误解。介于有些朋友还在上中学,物理考试对于这方面有明确的规定,所以我觉得有必要讲一下这两个名词。
动能描述了一个物体在运动时,由于它的运动所具有的能量。请注意这里动能描述了一个物体的能量。什么是能量?能量是指一个物体对其他物理系统做功的能力。能量有好多种,包括了动能、势能、弹性能、化学能、辐射能等。在中学物理中经常涉及的一类题目就是能量转化,更准确的说是重力势能与动能之间的转换。例如过山车类题目。在经典物理,低速度情况下,动能可以写作为

有时也会使用KE代表动能。(能量为标量,也就是只描述大小,并没有其他的信息。这里我们会与下方的内容作对比。)注意这里和我们在对撞机计算粒子动能是不一样的公式,因为对撞机内粒子速度接近光速,所以要用相对论公式去计算动能。即便是在高速下一个粒子要用到不同的方式去计算动能,但是这个物体还是会具有动能的。那在加速器中的粒子除了动能,还有什么其他的能量?还有就是一个物体它的质量所带来的能量。这里的质量是指物体在静止情况下的质量。而爱因斯坦的质能转化公式就是描述了一个物体它所具有的质量能转换为多少的能量。

而湮灭反应(Annihilation)则会是目前唯一一种可以将质量全部转换为能量的一种反应。这种反应常会被考虑在未来航天器推进装置中。因为它会把全部的质量转换为能量,转换效率百分之百。是目前最高效的反应。而普通民用级太阳能板只有百分之二十不到,甚至有些低于百分之十。这里我们忽略掉由引力带来的能量,这是粒子物理研究的习惯。我们常说引力是一个特别弱的力,所以在粒子物理的研究中会被忽略掉。所以一个粒子在加速器中所具有的能量为动能加质量所提供的能量,这就是它所有的能量来源了。请记住这一点,我们会在之后用到这个内容。
动量(Momentum)的定义就是它是一个物理速度(velocity)和质量的乘积。由于速度(velocity)为矢量(Vector),质量为标量(Scalar)。所以动量(Momentum)为矢量(Vector)。也就是说它不仅描述了一个物理性质数值上的大小,还给定了到底这个物理性质指向的方向。而在经典物理,低速度情况下(速度远远小于光速),动量(Momentum)可以写作为

注意这里动量(Momentum)表述的不是一个物体所具有的能量,而表述的是一个物体向哪个方向运动,有多大的趋势。而动能也可以由一个物体转换到另一个物体,类似于保龄球撞击球瓶就是动量转换的案例。他只要遵循动量守恒就可以,也就是撞击前保龄球与球瓶的动量(Momentum)等于撞击后保龄球与球瓶的动量(Momentum)就可以了。所以这就是为什么你的物理老师强调,动能和动量不一样的原因。
从观看他俩的等式我们就可以推导出来,在经典物理学,低速度情况下(速度远远小于光速)两个量的关系为

这个等式不仅关联了动能与动量(Momentum),而且还将等式右侧一个矢量转化为等式左侧的一个标量。举个例子,我们只考虑数字不考虑物理单位。
从这个例子中可以知道,假定你只测得了一个物体它的动能是多少,那么他很可能有多种情况。
所以很显然只知道动能并不能确定一个物体它的动量,还需要知道它的质量是多少。所以他俩并不是一回事。
我之前在粒子组工作,我们组主要是负责欧核中心CERN大型强子对撞机LHCb以及超低温低能粒子的内容。研究方向为CPT对称性破坏. 我所在这一章节讨论的内容不建议即将要进行物理考试的同学看,因为真的会造成概念上的混乱。我在这里聊的只是作为一个实验粒子组平时讨论问题的习惯,而并不会当作任何知识点记录在课本或者论文中。之所以想要分享这些内容,而不是严谨物理知识。是因为我想让大家看到真实情况下我们是怎么工作的。下面开始!
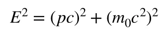
还记得我在“什么是动能?”部分讲的内容吗?一个在加速器中的粒子具有的能量来源于粒子本身质量带来的能量以及运动所带来的能量。在粒子物理中,当一个粒子速度接近光速,那我们计算粒子总能量的方程就变为了

也就是Energy-momentum relation。c则为光速是固定的数值,而m0则是这个粒子的静止下的质量。可以把加号左侧看为由于物体运动所具有的能量,加号右侧为物质本身具有的能量。而恰恰是这里物体运动所具有的能量包含了动量p(Momentum)。我们之前说光知道一个物体的动量(Momentum)并不能知道一个物体的动能,因为缺少质量有关的信息。而我们在粒子组所做的对撞实验,是完完全全知道所用的粒子是什么的。比如我们拿电子对撞,我们拿质子对撞,中子对撞。所以当我们在说一个电子它的动量(Momentum)是多少多少的时候,其中就包含了它的质量以及它的动量(Momentum)。也就是说知道了它的动能为多少。因为一个粒子它的质量是固定的或者说已知的,所以知道了动能就等于知道了动量(Momentum),反之亦然。这就是为什么我们会在粒子组工作的时候,把两者当成同一件事物。就是因为我们知道了前提条件,粒子的质量。而“能”和“量”之间只不过是比例关系。视频下方有评论还炫技在讨论虚拟粒子,虚拟粒子在不确定原理的时间尺度内也是具有虚拟质量的。尽管两个物理量所描述的维度不同,但是由于他们是等比关系,在此情况下我们把它当作一类。这并不是严谨的物理定义或理论,只是我所在的粒子组工作习惯和方式罢了。
中学物理中,对任何的问题都会有精准的答案。但是真实的物理并不是你书本描述的那样。像是我们实验物理方向,有些情况下假如一个测量值和真实值相差十倍之内,我们就可以称为精确测量了。而并不是真实数值是多少,我们就必须测量到什么样的数,一分不差。物理有的时候是完美的,但物理有的时候也是肮脏的。作为一个深爱科学及物理的人来说,我一开始很难接受这些现实。但是正是因为这些的存在,使得我们才会去追寻到底真实的物理是怎样。真实的自然规律是如何。
希望你也可以热爱物理,崇尚科学。
动能描述了一个物体在运动时,由于它的运动所具有的能量。请注意这里动能描述了一个物体的能量。什么是能量?能量是指一个物体对其他物理系统做功的能力。能量有好多种,包括了动能、势能、弹性能、化学能、辐射能等。在中学物理中经常涉及的一类题目就是能量转化,更准确的说是重力势能与动能之间的转换。例如过山车类题目。在经典物理,低速度情况下,动能可以写作为...
·4、成本效益高。动能3反卫星导弹的研发和生产成本相对较低,与其他国家的洲际弹道导弹相比具有较高的性价比,能够更好地满足国家的军事需求。·首先射程远。动能3反卫星的射程达到了36000公里,这意味着它可以覆盖全球范围内的目标,具有强大的打击能力和威慑力。相比之下,美国的洲际弹道导弹射程一般在13000公里左右。
但凡对手表有点研究的都知道,光动能行列中最出名的无非就是精工,卡西欧,西铁城。今天我们就着重来讨论一下西铁城和卡西欧哪家强?今天这篇文章小编将从个人角度出发分五个方面对比一下两者的区别。卡西欧的各个电商旗舰店众说纷纭,以京东为例可以享受1年的质保。而西铁城官方承诺了对国行正品高达5年的质保,可见西铁城在光动能技术和质量上的自信。
我记得有一年在巴塞尔表展上,我专门去参加了那块千分之一秒概念表的发布会。当时,我在现场亲自体验了那根计时指针,它转起来的速度简直就像手腕上的电风扇。这至今都是高频机械机芯的速度记录。虽然那块表无法实现完全量产,但它也体现了泰格豪雅品牌的挑战精神。如今,泰格豪雅给我的感觉更加稳重,特别是在推出品牌的主力自产计时机芯之后,从Cal、1887到Heuer01再到最新的TH20,我觉得它似乎有一种低调但暗藏锋芒的气质。
2017年3月30日消息,对于一般的手表来说,除了定期校准时间,好像没有什么更好的办法来确保时间的准确,但对于那些经常出国以及户外运动爱好者来说,时差可真是一件麻烦事,那么有没有其他的方法来解决这个问题呢?近日有消息传闻,卡西欧将推出一款型号为GWP-2000的手表,号称能随时随地确保时间的准确。据悉,这款手表将会使用一款名为Connected Engine 3-way时间自动校准模块,虽然单从名称上看,相信大多数读者都会像小编一样摸不着头脑,但实际上这款手表的原理并不复杂,具体来说就是GPS模块、无线电
虽然表龄已经8年,但却是第一次发帖。真激动了啊。本人个高体瘦,手腕细还没有肉!按理说是不适应带42以上的表。但是经过这么多年香港买表女孩们的洗脑,决定入一只OP!真好前些日子朋友入了335,常常“炫耀”。更是让我想入!于是乎,发电邮给OP香港总公司,询问情况。出人意料的是,在我加入OP等待名单不到2天,中环店就通知我有货,并预留。期间服务真的是不错! 最后,订机票拿手表,过澳门回祖国!你懂得! 期间也问过香港好几间表行,都回复“这是新款,我们没有!”当听到这话时,那种心中窃喜,你也是懂滴!
卡西欧手表时间怎么调 一.按下手表侧面的功能键,直到显示屏上的时间和日期变成英文。二.确认时区和日期设置,通常设置为本地时间。如果手表没有自动确认时区和日期设置,可以手动设置。四.转动表冠来调整时间和日期,具体操作方法如下:五.重置手表时间和日期,可以通过按下功能键和复位按钮来完成。1.将表冠向左转动,可以调整小时。
卡西欧手表时间怎么调 一.按下手表侧面的功能键,直到显示屏上的时间和日期变成英文。二.确认时区和日期设置,通常设置为本地时间。如果手表没有自动确认时区和日期设置,可以手动设置。四.转动表冠来调整时间和日期,具体操作方法如下:五.重置手表时间和日期,可以通过按下功能键和复位按钮来完成。1.将表冠向左转动,可以调整小时。
动能描述了一个物体在运动时,由于它的运动所具有的能量。请注意这里动能描述了一个物体的能量。什么是能量?能量是指一个物体对其他物理系统做功的能力。能量有好多种,包括了动能、势能、弹性能、化学能、辐射能等。在中学物理中经常涉及的一类题目就是能量转化,更准确的说是重力势能与动能之间的转换。例如过山车类题目。在经典物理,低速度情况下,动能可以写作为...